16+
Графическая версия сайта
Зарегистрировано –  130 082Зрителей: 72 199
Авторов: 57 883

On-line31 693Зрителей: 6352
Авторов: 25341

Загружено работ – 2 225 724
Социальная сеть для творческих людей
  

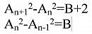
Новая форма комплексного числа

Изобретения / Другое / Новая форма комплексного числа
Просмотр работы:
26 июня ’2009   19:19
Просмотров: 29521

Новая форма комплексного числа

читайте на сайте:

www.PLUS7.ucoz.ru






Голосование:

Суммарный балл: 10
Проголосовало пользователей: 1

Балл суточного голосования: 0
Проголосовало пользователей: 0

Голосовать могут только зарегистрированные пользователи

Вас также могут заинтересовать работы:



Отзывы:


Оставлен: 12 декабря ’2010   13:53
лень лазить по рекламным ссылкам, а когда мне говорят "загадайте любое число", то я загадываю -i

Оставлен: 11 июня ’2012   08:41
...неправильное оформление работы.Можно расценить даже как спам.Находитесь на этом сайте,размещайте свои изобретения здесь...


Оставлять отзывы могут только зарегистрированные пользователи

Трибуна сайта
Метель осенняя...

Присоединяйтесь 



Наш рупор

ПРЕМЬЕРА МУЗЫКАЛЬНОГО КЛИПА:"ДЕВА И РЫБАК"!
https://www.neizvestniy-geniy.ru/cat/films/music_clip/2725400.html?author



500

Рупор будет свободен через:
17 мин. 51 сек.







© 2009 - 2025 www.neizvestniy-geniy.ru         Карта сайта

Яндекс.Метрика
Мы в соц. сетях —  ВКонтакте Одноклассники Livejournal
Разработка web-сайта — Веб-студия BondSoft